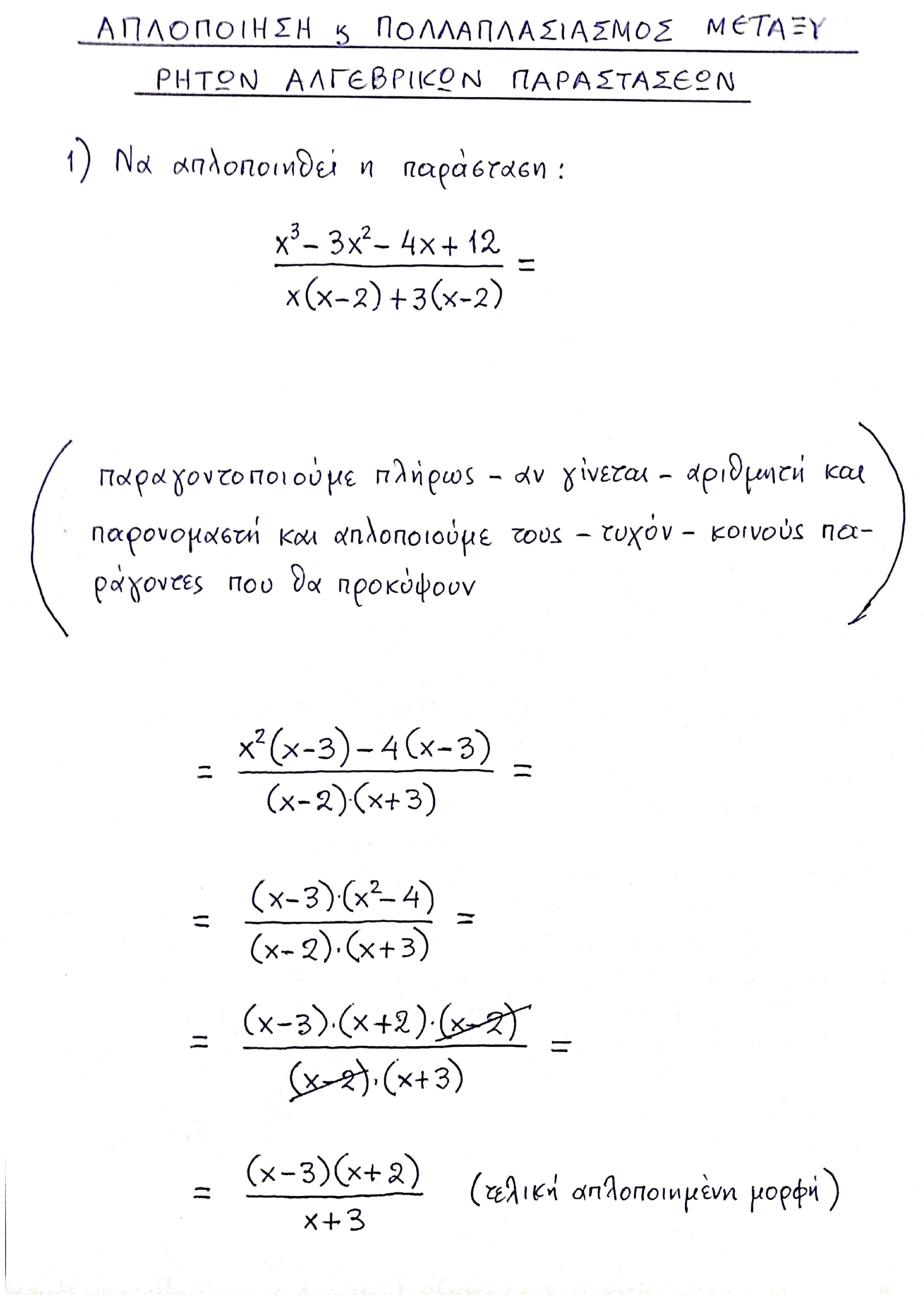
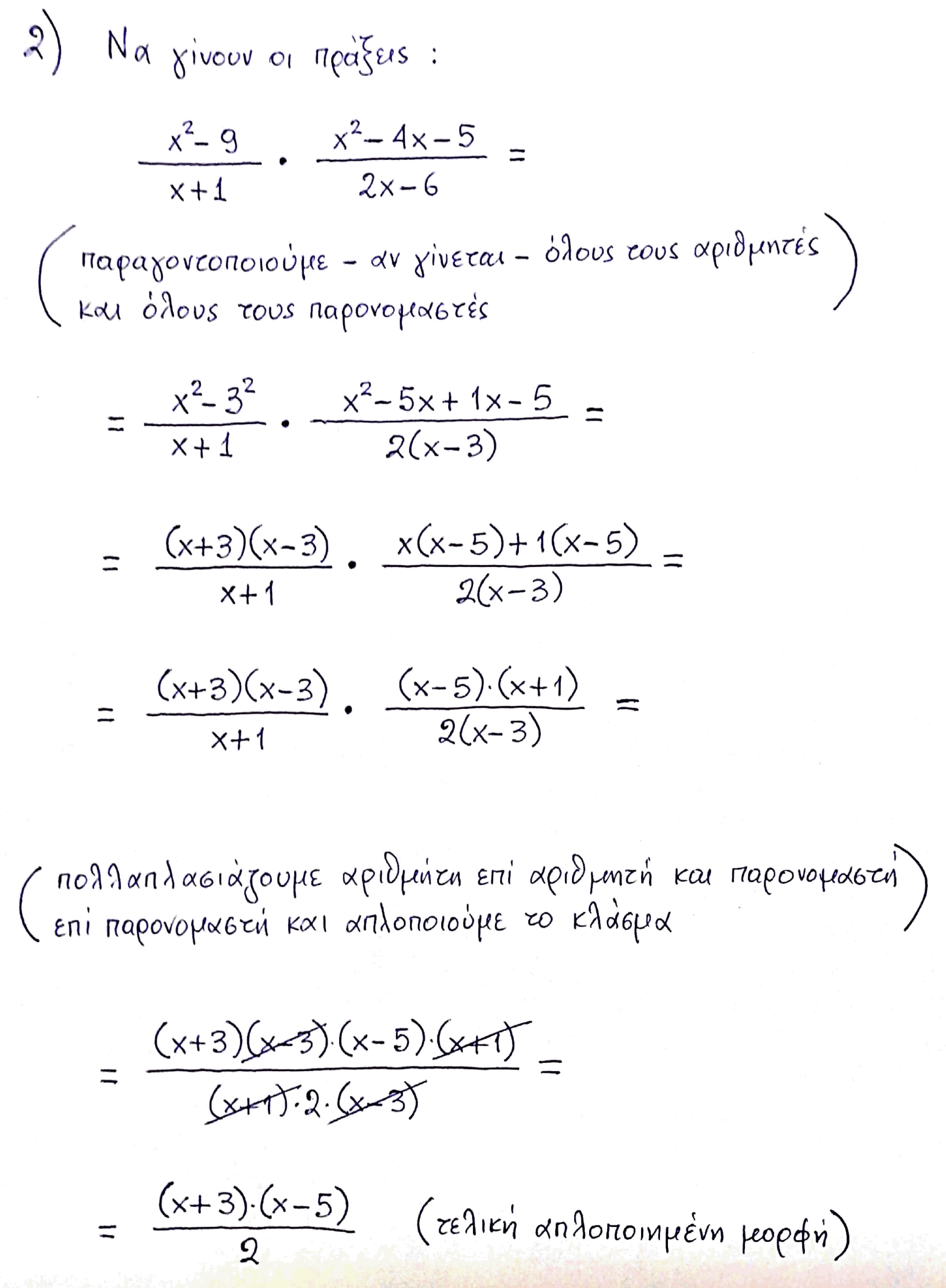
Όσοι και όσες μαθήτριες δεν μπόρεσαν - για οποιονδήποτε λόγο - να λάβουν μέρος στην τηλεδιάσκεψη του τμήματος για τα Μαθηματικά, που έγινε την Τετάρτη 06/05/2020, μπορούν να δουν την άσκηση που λύσαμε στο επισυναπτόμενο αρχείο "ΡΗΤΕΣ ΠΑΡΑΣΤΑΣΕΙΣ", με την οποία είδαμε πως απλοποιούμε μια ρητή παράσταση και πως πολλαπλασιάζουμε ρητές παραστάσεις.









