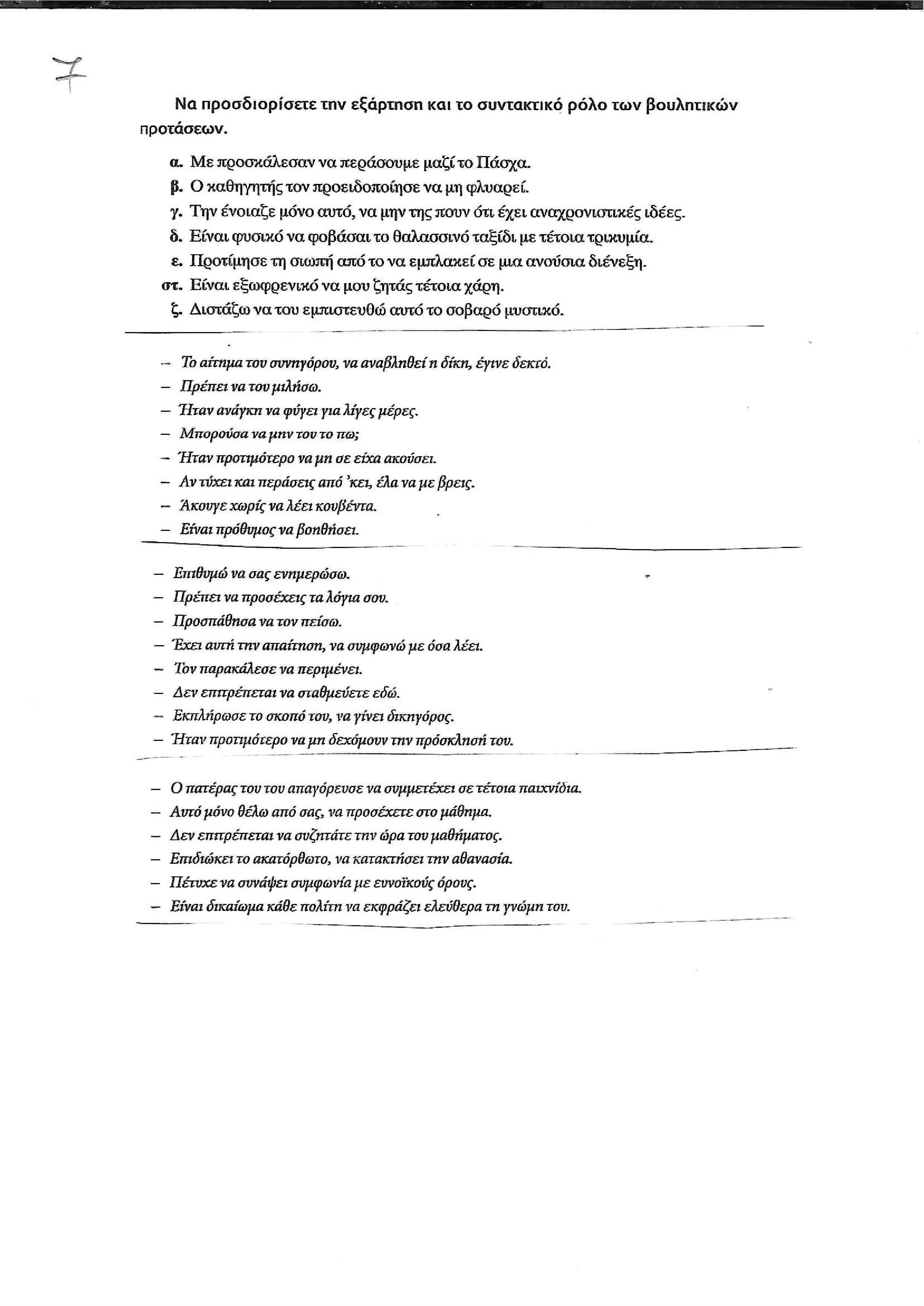
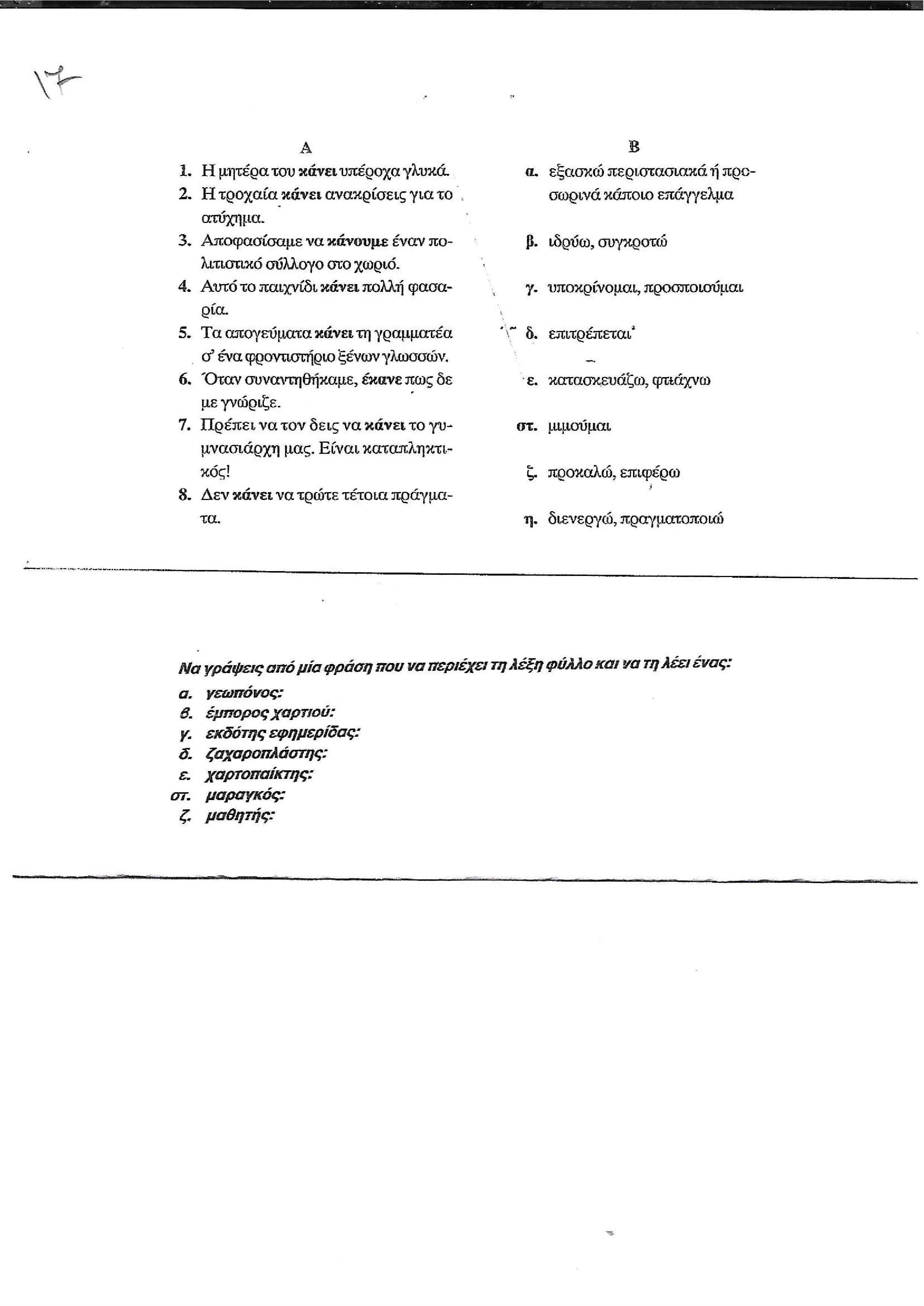
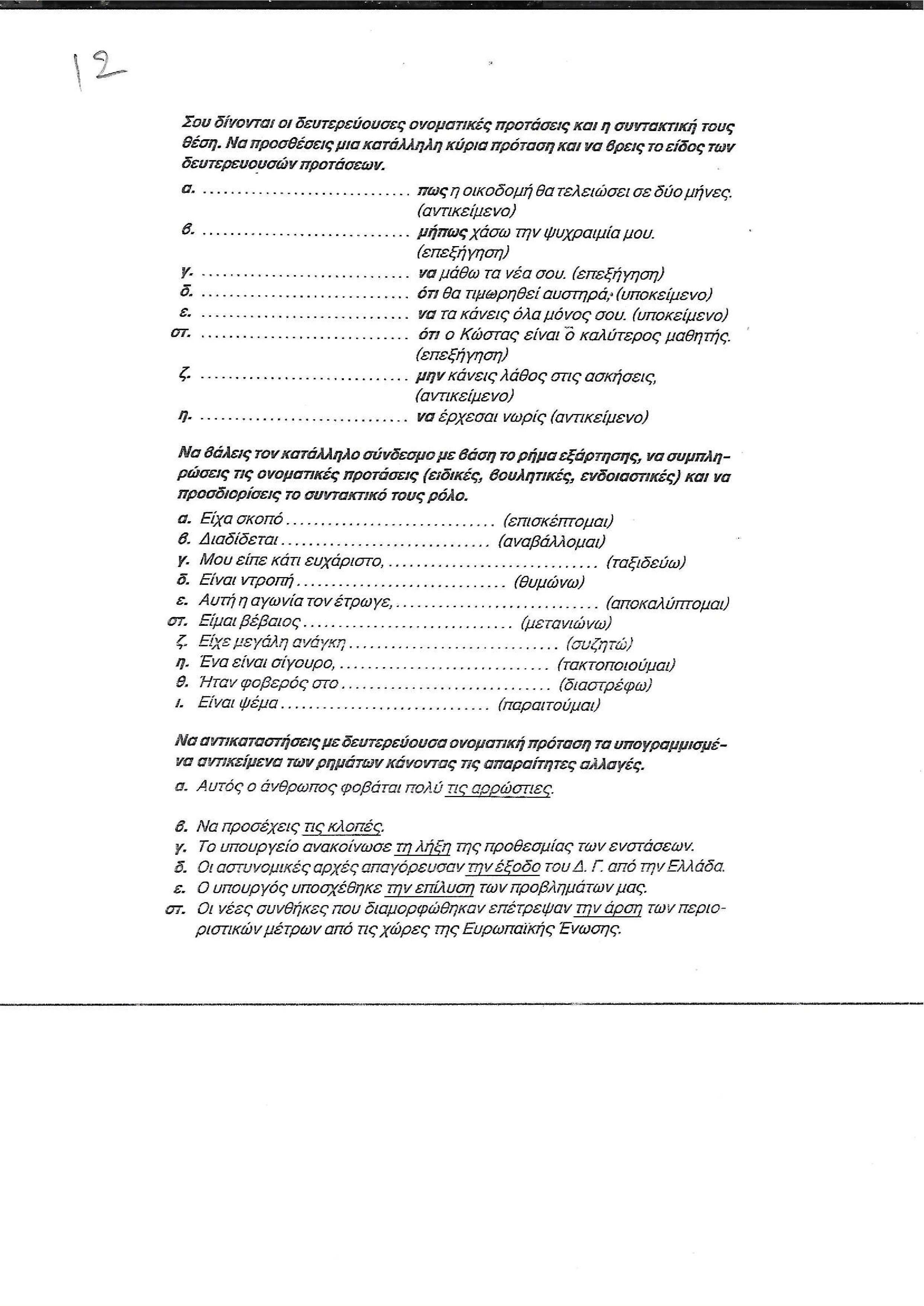
Νεοελληνική Γλώσσα περιόδου καραντίνας Γ1 02/11/2020 ΝΑ ΑΝΑΓΝΩΡΙΣΕΤΕ ΤΟ ΕΙΔΟΣ ΤΗΣ ΣΥΝΔΕΣΗΣ ΤΩΝ ΠΡΟΤΑΣΕΩΝ ΣΤΑ ΠΑΡΑΚΑΤΩ ΠΑΡΑΔΕΙΓΜΑΤΑ 27/11/2020 ΝΕΟΕΛΛΗΝΙΚΗ ΓΛΩΣΣΑ ΞΗΡΟΥΔΑΚΗΣ Σελίδες : 1, 2, 3, 4, 5, 6, 7, 8, 9, 10, 11, 12, 13, 14, 15, 16, 17